반응형
🚀 풀이 후기
Leaf 노드만 찾아서 삭제하는 부분이 까다로웠습니다.
Leaf 노드를 삭제하니 부모 노드도 Leaf 노드라고 착각하게 되는 것을 주의하면서 코드를 짜야합니다.
🌒 문제 설명
Given the root of a binary tree, collect a tree's nodes as if you were doing this:
Collect all the leaf nodes.
Remove all the leaf nodes.
Repeat until the tree is empty.

Example 1:
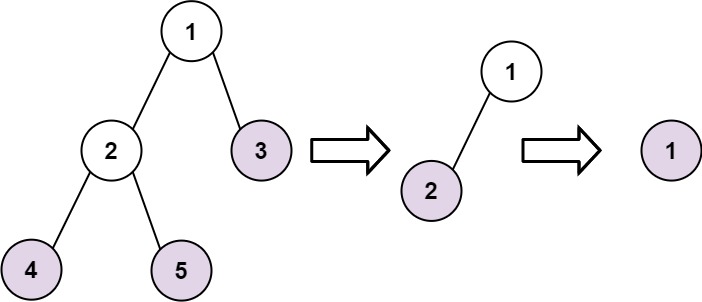
Input: root = [1,2,3,4,5]
Output: [[4,5,3],[2],[1]]
Explanation:
[[3,5,4],[2],[1]] and [[3,4,5],[2],[1]] are also considered correct answers
since per each level it does not matter the order on which elements are returned.
Example 2:
Input: root = [1]
Output: [[1]]
🌓 문제 풀이
바닥 노드를 삭제한 뒤, 부모 노드가 자식 노드라고 생각하지 않도록 removeLeafNodes() 메서드에서 수정된 TreeNode를 반환하도록 했습니다.
또한, 수정된 노드로 다음 바닥 노드를 모을 수 있도록 (collectLeafNodes()를 수행할 수 있도록) TreeNode root 도 수정해 줬습니다.
노드는 DFS 방법으로 탐색했습니다.
DFS(Depth First Search) 깊이 우선 탐색으로 탐색하다 보면, 위 Example1 root = [1,2,3,4,5,6] 은 [4,5,2,3,1]의 순서로 탐색할 수 있습니다.
/**
* Definition for a binary tree node.
* public class TreeNode {
* int val;
* TreeNode left;
* TreeNode right;
* TreeNode() {}
* TreeNode(int val) { this.val = val; }
* TreeNode(int val, TreeNode left, TreeNode right) {
* this.val = val;
* this.left = left;
* this.right = right;
* }
* }
*/
class Solution {
private List<List<Integer>> answer; // 최종적으로 리턴할 답
private List<Integer> childList; // answer안에 들어가게 될 Leaf nodes list
public List<List<Integer>> findLeaves(TreeNode root) {
answer = new ArrayList<>(); // answer 이차원 리스트를 초기화합니다.
while(root != null){ // root가 null이 될 때까지 반복합니다.
childList = new ArrayList<>(); // 하위 list를 초기화합니다.
collectLeafNodes(root); // 바닥 노드들을 모읍니다.
answer.add(childList); // answer에 모은 노드들을 추가합니다.
root = removeLeafNodes(root); // 바닥 노드들을 삭제합니다.
}
return answer; // 최종 결과를 반환합니다.
}
private void collectLeafNodes(TreeNode root){
if(root == null){ // root가 null이면 리턴합니다.
return;
}
if(root.left==null && root.right == null){ // root의 자식 노드들이 null이면 모읍니다.
childList.add(root.val);
return;
}
collectLeafNodes(root.left); // 왼쪽 노드들을 탐색합니다.
collectLeafNodes(root.right); // 오른쪽 노드들을 탐색합니다.
}
private TreeNode removeLeafNodes(TreeNode root){
if(root == null){ // root가 null이면 그대로 반환합니다.
return root;
}
if(root.right == null && root.left == null){ // root의 자식 노드들이 null이면 삭제하기 위해 null을 반환합니다.
return null;
}
root.left = removeLeafNodes(root.left); // 현재 노드의 왼쪽 자식 노드에 삭제한 정보를 저장합니다.
root.right = removeLeafNodes(root.right); // 현재 노드의 오른쪽 자식노드에 삭제된 정보를 저장합니다.
return root; // 수정된 노드를 반환합니다.
}
}
N: 노드 개수
- 시간복잡도: O(2N)
- 공간복잡도: O(N)
🌕 리팩토링
Leaf노드를 찾고 삭제하는 과정을 한 번에 수행하도록 변경했습니다.
/**
* Definition for a binary tree node.
* public class TreeNode {
* int val;
* TreeNode left;
* TreeNode right;
* TreeNode() {}
* TreeNode(int val) { this.val = val; }
* TreeNode(int val, TreeNode left, TreeNode right) {
* this.val = val;
* this.left = left;
* this.right = right;
* }
* }
*/
class Solution {
private List<List<Integer>> answer;
private List<Integer> childList;
public List<List<Integer>> findLeaves(TreeNode root) {
answer = new ArrayList<>();
while(root != null){
childList = new ArrayList<>();
root = dfs(root);
answer.add(childList);
}
return answer;
}
private TreeNode dfs(TreeNode root){
if(root == null){
return root;
}
if(root.right == null && root.left == null){
childList.add(root.val);
return null;
}
root.left = dfs(root.left);
root.right = dfs(root.right);
return root;
}
}
- 시간복잡도: O(N)
- 공간복잡도: O(N)
반응형
'Coding > algorithm' 카테고리의 다른 글
| Java, LeetCode | 418. Sentence Screen Fitting (2) | 2024.09.05 |
|---|---|
| Java, BaekJoon | 30802. 웰컴 키트 (1) | 2024.08.03 |
| Java, BaekJoon | 25083. 새싹 (5) | 2024.07.23 |
| Java, LeetCode | 35. Search Insert Position (0) | 2024.07.23 |
| Java, BaekJoon | 27866. 문자와 문자열 (1) | 2024.07.23 |
